Info
- - - Mme Bocoum Fatoumata Siragata Traoré est la nouvelle Directrice Générale de la SOMAGEP-SA - - - Elle était précédemment Directrice Générale du Centre Malien de promotion de la Propriété Industrielle (CEMAPI) - - - La nouvelle Directrice Générale a pris fonction le jeudi 5 juin 2025 - - -
EMAIL
somagep@somagep.ml
Contact
20 70 41 00
PAIEMENT EN LIGNE
Menu
  • ACCUEIL
  • LES PROJETS
  • QUI SOMMES-NOUS?
    • Mot de la Directrice Générale
    • Présentation
    • Organisation
      • Assemblée Générale
      • Cadre institutionnel
      • Direction
    • NOS AGENCES
    • LA SOMAGEP-SA EN UN CLIND’ŒIL
    • Contact
  • ESPACE CLIENT
    • ENTREPRISE/INDUSTRIE
    • PARTICULIER
      • Abonnement
      • Branchement
      • Facture d’eau
      • Réclamation
      • Résiliation
    • Règlement de service
    • Conseils pratiques
    • Application SOMAGEP-SA +
    • FAQ
    • Contact
  • PUBLICATION
    • JOURNAL INTERNE – ROBINET DJI
    • AVIS D’APPEL D’OFFRES
    • COMMUNIQUÉS
    • LETTRE DE POLITIQUE
    • RAPPORTS
  • MÉDIATHEQUE
  • ACTUALITÉS

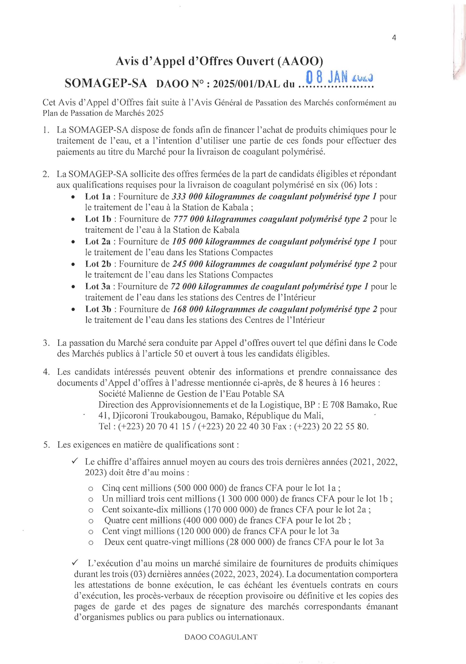
AAO-2025-02- Avis d’Appel d’Offres Ouvert SOMAGEP-SA DAOO N° : 2025/001/DAL

janvier 10, 2025
| Aucun commentaire

Partager :

  • Partager
  • Cliquer pour partager sur X(ouvre dans une nouvelle fenêtre) X
  • Cliquez pour partager sur LinkedIn(ouvre dans une nouvelle fenêtre) LinkedIn
  • Cliquez pour partager sur Facebook(ouvre dans une nouvelle fenêtre) Facebook

J’aime ça :

J’aime chargement…

Similaire

AVIS D’APPEL D’OFFRES

Post navigation

← AAO-2025-01- Avis d’ Appel à Concurrence N° : N°2025/003/SOMAGEP-SA/DAL
AAO-2025-03- Avis d’ Appel d’Offres Ouvert (AAOO)SOMAGEP-SA DAOO N o : 2025/002/DAL du 21-01-25 →

Articles récents

  • SOMAGEP-SA & Renforcement des capacités
  • La SOMAGEP-SA renforce ses capacités de production et de distribution
  • « J’insiste sur la culture de la rigueur et de la responsabilité dans la gestion des procédures de passation des marchés publics » 
  • Les cadres renforcent leurs compétences en passation des marchés publics
  • Avis de perturbation dans la fourniture d’eau potable

Archives

  • novembre 2025
  • octobre 2025
  • septembre 2025
  • août 2025
  • juillet 2025
  • juin 2025
  • mai 2025
  • avril 2025
  • mars 2025
  • février 2025
  • janvier 2025
  • décembre 2024
  • novembre 2024
  • octobre 2024
  • septembre 2024
  • août 2024
  • juillet 2024
  • juin 2024
  • mai 2024
  • mars 2024
  • février 2024
  • décembre 2023
  • novembre 2023
  • octobre 2023
  • septembre 2023
  • août 2023
  • juillet 2023
  • mars 2023
  • janvier 2023
  • octobre 2022
  • septembre 2022
  • août 2022
  • juillet 2022
  • juin 2022
  • mai 2022
  • mars 2022
  • janvier 2022
  • décembre 2021
  • novembre 2021
  • octobre 2021
  • septembre 2021
  • août 2021
  • juillet 2021
  • juillet 2020
  • avril 2020
  • février 2020
  • janvier 2020
  • décembre 2019
  • novembre 2019
  • octobre 2019
  • septembre 2019

Catégories

  • Actualités
  • AVIS D’APPEL D’OFFRES
  • communiques
  • Journal interne
  • Journal interne – Robinet Dji
  • Journal interne – Filet d'O

user_logo

I got lucky because I never gave up the search. Are you quitting too soon? Or, are you willing to pursue luck with a vengeance?

       

Popular Requests

Actualités article Filet ROBINET DJI

Advertizing Spot

Nous rejoindre
Rue 41, Djicoroni Troukabougou BPE.708 Phone: +223 20 70 41 00 Email: somagep@somagep.ml Web: www.somagep.ml
 
SOMAGEP-SA
  • ACCUEIL
  • QUI SOMMES-NOUS?
  • MÉDIATHEQUE
  • CONTACT
RECENT
  • SOMAGEP-SA & Renforcement des capacités
    novembre 11, 2025
  • La SOMAGEP-SA renforce ses capacités de production et de distribution
    novembre 11, 2025
Numéro Vert
66 74 78 32 20 22 69 27
Copyright © 2021 - SOMAGEP-SA. Tous Droits Réservés
Design par LE DEPARTEMENT DE LA COMMUNICATION.
 

Chargement des commentaires…
 

    %d
      Nous utilisons des cookies pour vous garantir la meilleure expérience sur notre site web. Si vous continuez à utiliser ce site, nous supposerons que vous en êtes satisfait.OkPolitique de confidentialité